Regel Von L Hôpital

Regel Von L Hôpital. Regel von L´Hopital Mathematik für Ingenieure Aufgabe 6 40 YouTube Eine analoge Aussage für Folgen anstatt von Funktionen ist der Satz von Stolz-Cesàro. Die Regel von l'Hospital wird meistens für Brüche angewendet, wie wir sie oben gesehen haben

Regel von de L’Hospital Grenzwerte sehr einfach ermitteln! YouTube
Regel von de L’Hospital Grenzwerte sehr einfach ermitteln! YouTube from www.youtube.com

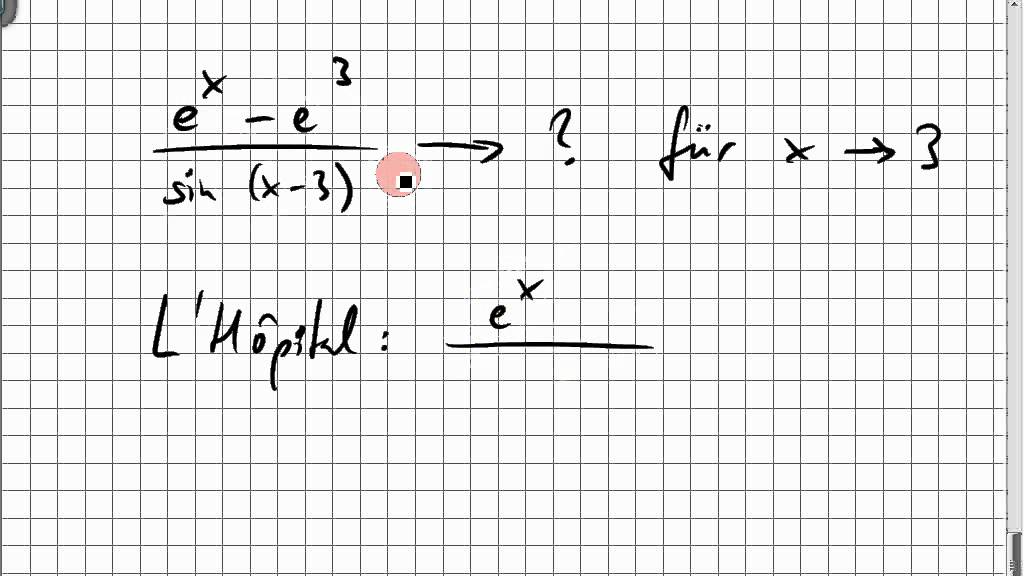
Die Bestimmung von Funktionsgrenzwerten kann dadurch vereinfacht werden, indem man die auf Grenzwerte der Ableitungen zurückführt Mit der Regel von de L'Hospital [1] [2] (gesprochen [lopi'tal]) lassen sich Grenzwerte von Quotienten zweier gegen Null konvergierender oder bestimmt divergierender Funktionen mithilfe der ersten Ableitungen dieser Funktionen berechnen

Regel von de L’Hospital Grenzwerte sehr einfach ermitteln! YouTube

Als letzte Anwendung des Mittelwertsatzes, genauer gesagt des zweiten Mittelwertsatzes, wollen wir die Regel von L'Hospital herleiten.Diese stellt eine praktische Möglichkeit dar, den Grenzwert einer Quotientenfunktion durch separates Ableiten von Zähler und Nenner zu bestimmen. Regel von l'Hospital einfach erklärt Aufgaben mit Lösungen Zusammenfassung als PDF Jetzt kostenlos dieses Thema lernen! Mit der Regel von de L'Hospital [1] [2] (gesprochen [lopi'tal]) lassen sich Grenzwerte von Quotienten zweier gegen Null konvergierender oder bestimmt divergierender Funktionen mithilfe der ersten Ableitungen dieser Funktionen berechnen

l‘Hospital einfach erklärt, Regel von l‘Hospital · [mit Video]. Als letzte Anwendung des Mittelwertsatzes, genauer gesagt des zweiten Mittelwertsatzes, wollen wir die Regel von L'Hospital herleiten.Diese stellt eine praktische Möglichkeit dar, den Grenzwert einer Quotientenfunktion durch separates Ableiten von Zähler und Nenner zu bestimmen. Eine analoge Aussage für Folgen anstatt von Funktionen ist der Satz von Stolz-Cesàro.

PPT L’Hôpital’s Rule PowerPoint Presentation, free download ID1839219. Ableiten liefert mit der Regel von l'Hospital den gesuchten Grenzwert Es gilt: Satz 15VI (de l'Hospital) Seien f f f und g g g zwei auf dem Intervall] a, b []a,b[] a, b [differenzierbare Funktionen.